• 谈球吧,谈球吧官方网站,谈球吧登录入口,谈球吧官方app下载

    页面
    配色
    辅助线
    重置

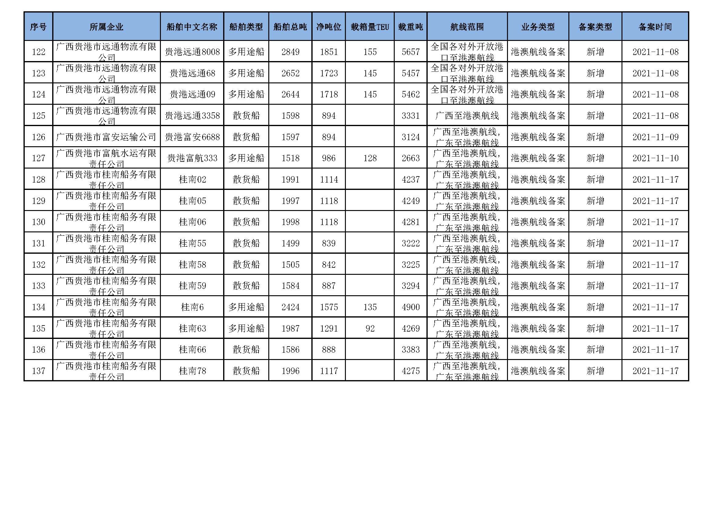
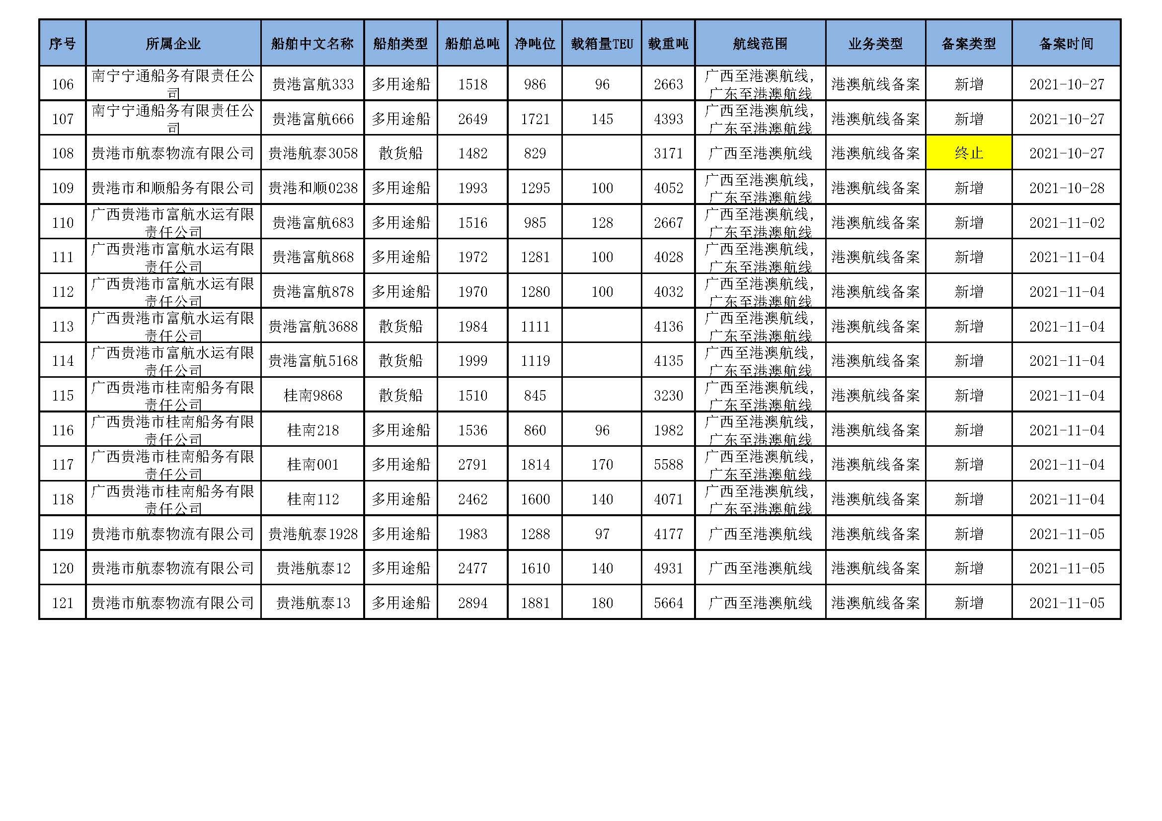
    截至2025年9月16日在交通运输部水路运输建设综合管理信息系统完成备案的港澳航线水路运输船舶

    2025-09-16 19:10     来源:谈球吧
    分享 微信
    头条
    微博 空间 qq
    【字体: 打印


    关联文件:

      谈球吧